索引号:
11370100MB281776XA/2024-01855
公开方式:
主动公开
发布机构:
济南新旧动能转换起步区管理委员会
组配分类:
补贴公示
文件编号:
成文日期:
2024-09-23
有效性:
文件登记号:
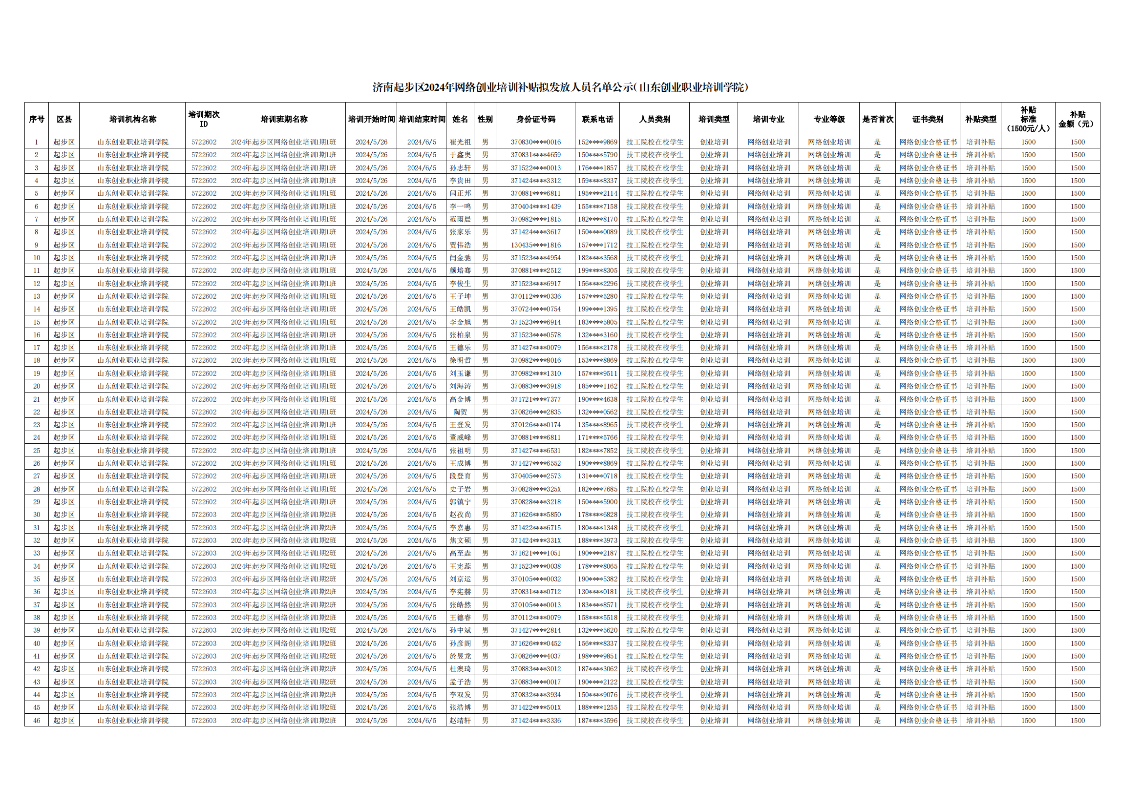
济南起步区2024年网络创业培训补贴拟发放人员名单公示
济南起步区2024年网络创业培训补贴
拟发放人员名单公示
(山东创业职业培训学院)
根据《关于开展创业培训工作有关问题的通知》(济就字〔2019〕8号)、《关于进一步规范职业技能培训工作的通知》(济就字〔2022〕8号)、《关于优化调整我市职业技能培训补贴标准的通知》(济人社字〔2022〕23号)、《关于落实职业技能培训有关政策和资金保障工作的通知》(鲁人社字〔2022〕72号)的规定:高等院校(含职业院校、技工院校)和用工企业可与培训机构联合开展培训业务,网络创业培训采用线下培训方式的参照补贴标准1500元/人给予职业培训补贴,培训全过程须接受培训补贴申请主体所在地公共就业服务机构监管。现有山东创业职业培训学院为86名符合网络创业培训补贴申领条件的学员代领网络创业培训补贴。经审核,按照政策要求,拟同意拨付网络创业补贴12.9万元(名单详见附件),如公示名单中存在被证实不符合拨付条件的,将予以剔除,实际补贴发放情况以最终拨付名单为准。
公示期间对公示信息有异议的请向济南起步区管委会社会保障办公室反映。公示无异议的,于资金到账后将补贴资金发放至申报单位(培训机构)基本银行账户中。
公示期限:2024年9月23日至2024年9月27日
业务咨询:0531-66604043 监督电话:0531-66604392
济南新旧动能转换起步区管理委员会
社会事业部社会保障办公室
2024年9月23日
【打印此页】
【关闭窗口】

